News
Your business surface water charges could increase by 1,000%
Author: Graham Mann, Water Audit Expert.
Yesterday I reported a case where a business customer received a demand from Canal and River Trust (formally British Waterways) to increase their charges for the discharge of surface water charges (rainwater) that falls onto the site and is discharged into the canal, that was a 100% increase demand on annual charges.
Today I have received a request for assistance from a small manufacturing site in the west midlands as they have today received a demand for an increase in annual charges for surface water charges from £62 per year to £6,000 per year a 1,000% increase.
I now suspect this is a national drive by Canal and River Trust ex British Waterways to substantially increase its income beyond what is fair and reasonable and I note that under the terms of a licence agreement the Canal and River Trust state “The annual existing fee £ x or such other amount as the board may from time to time charge in respect of band of its then current charging structure” In other words they can increase the charges as much as they like as they say “increase as they see fit” which in my expert opinion is ludicrous.
All the indications are the Canal and River Trust are reviewing all the charges on their existing licences and likely to impose very substantial increases, I say impose but would also be demand with no choice and in their own words “increase as they see it” . But you do have a choice, you need to talk to a water audit expert, you don’t have to accept 1,000% or even 100% increases in these water charges, you now have a choice.
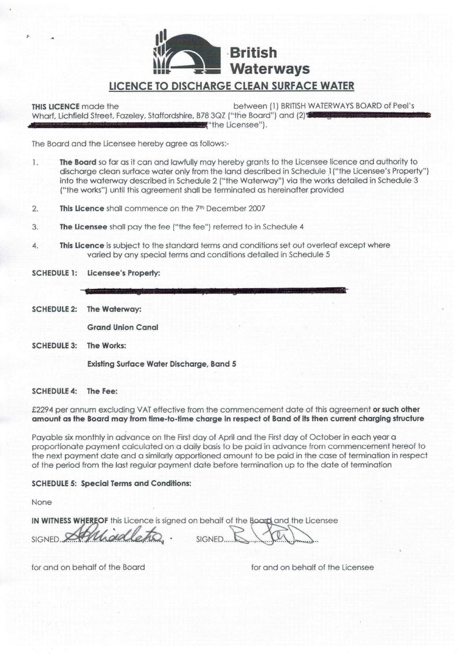
Do you have a British Water Ways (Canal and River Trust) licence? If so what does it look like?
Example of a British Waterways (Canal River Trust) licence. Have you ever had a surface water bill from the Canal and River Trust, here is an example.
Useful link www.canalandrivertrust.org.uk
When you pay them where does your money go? useful link https://canalrivertrust.org.uk/media/library/6699.pdf

